初介利用函数商求导法则的综合应用
来源:网络收集 点击: 时间:2024-08-11【导读】:
本经验,通过举例来介绍,函数商的求导法则的综合应用。工具/原料more函数商的求导法则函数导数的基本知识1.分子含有单独自变量x情形1/3分步阅读
2/3
3/3
2.分母含有根式的情形1/3
2/3
3/3
3.分母含有三角函数情形1/2
2/2
4.分子分母为多项式情形1/2
2/2
5.分子分母为函数乘积情形1/2
2/2
学习导数三角函数
本例子中,分母为x的二次定值字母系数多项式情况:

本例子中,分母为x的二次常数系数多项式情况:

本例子中,分母为x的二次根式情况:

本例子中,分母为√x,分母为x的二次多项式情况:

本例子中,分子分母均含有√x的情况:


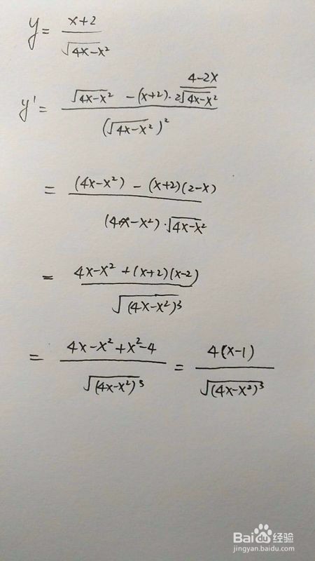
本例子中,分母中含有√4x-x^2的情况:

本例子中,分母为余弦函数cosx情况:

本例子中,分子为正弦函数sint,分母为三角函数和sint+cost。

本例中,分子为二次多项式,分母为一次多项式情况:

本例中,分子、分母均为二次多项式情况:

分子是两个单项式的乘积情况:

分母是5次函数,分子是根式和4次函数的乘积情况:

版权声明:
1、本文系转载,版权归原作者所有,旨在传递信息,不代表看本站的观点和立场。
2、本站仅提供信息发布平台,不承担相关法律责任。
3、若侵犯您的版权或隐私,请联系本站管理员删除。
4、文章链接:http://www.1haoku.cn/art_1106820.html
上一篇:16年6月出厂长安cs35是15款还是16款
下一篇:新手广州批发包包攻略