等价无穷大等价替换公式是什么
来源:网络收集 点击: 时间:2024-08-18【导读】:
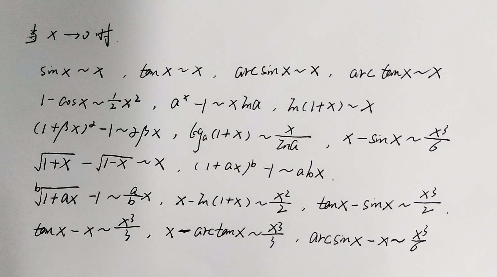
等价无穷小替换公式如下 :

以上各式可通过泰勒展开式推导出来。
等价无穷小是无穷小的一种,也是同阶无穷小。从另一方面来说,等价无穷小也可以看成是泰勒公式在零点展开到一阶的泰勒展开公式。
极限:
历史上是柯西(Cauchy,A.-L.)首先较为明确地给出了极限的一般定义。他说,“当为同一个变量所有的一系列值无限趋近于某个定值,并且最终与它的差要多小就有多小”(《分析教程》,1821),这个定值就称为这个变量的极限。
其后,外尔斯特拉斯(Weierstrass,K.(T.W.))按照这个思想给出严格定量的极限定义,这就是数学分析中使用的ε-δ定义或ε-Ν定义等。从此,各种极限问题才有了切实可行的判别准则。在分析学的其他学科中,极限的概念也有同样的重要性,在泛函分析和点集拓扑等学科中还有一些推广。
版权声明:
1、本文系转载,版权归原作者所有,旨在传递信息,不代表看本站的观点和立场。
2、本站仅提供信息发布平台,不承担相关法律责任。
3、若侵犯您的版权或隐私,请联系本站管理员删除。
4、文章链接:http://www.1haoku.cn/art_1132739.html
上一篇:Excel怎样设置文本倾斜效果?
下一篇:Outlook怎么设置纯文本邮件的格式?
订阅