cosx的四次方的积分是什么
来源:网络收集 点击: 时间:2025-02-13cosx的四次方的积分:
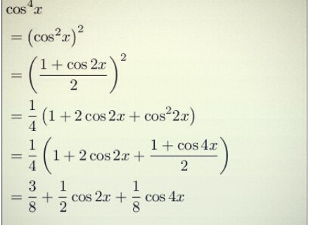
原式=∫(cosx)^4 dx。
=∫(1-sinx^2)cosx^2dx。
=∫cosx^2dx-∫sinx^2cosx^2dx。
=∫(1/2)(1+cos2x)x-∫(1/4)dx。
=(x/2)+(1/4)sin2x-(x/8)+(1/32)sin4x+C。
=3x/8+(1/4)sin2x+(1/32)sin4x+C。

求函数积分的方法:
如果一个函数f在某个区间上黎曼可积,并且在此区间上大于等于零。那么它在这个区间上的积分也大于等于零。如果f勒贝格可积并且几乎总是大于等于零,那么它的勒贝格积分也大于等于零。
函数的积分表示了函数在某个区域上的整体性质,改变函数某点的取值不会改变它的积分值。对于黎曼可积的函数,改变有限个点的取值,其积分不变。
对于勒贝格可积的函数,某个测度为0的集合上的函数值改变,不会影响它的积分值。如果两个函数几乎处处相同,那么它们的积分相同。如果对 中任意元素A,可积函数f在A上的积分总等于(大于等于)可积函数g在A上的积分,那么f几乎处处等于(大于等于)g。
如果在闭区间上,无论怎样进行取样分割,只要它的子区间长度最大值足够小,函数f的黎曼和都会趋向于一个确定的值S,那么f在闭区间上的黎曼积分存在,并且定义为黎曼和的极限S。
设是函数f(x)的一个原函数,我们把函数f(x)的所有原函数F(x)+C(C为任意常数)叫做函数f(x)的不定积分,记作,即∫f(x)dx=F(x)+C。
其中∫叫做积分号,f(x)叫做被积函数,x叫做积分变量,f(x)dx叫做被积式,C叫做积分常数,求已知函数不定积分的过程叫做对这个函数进行积分。
版权声明:
1、本文系转载,版权归原作者所有,旨在传递信息,不代表看本站的观点和立场。
2、本站仅提供信息发布平台,不承担相关法律责任。
3、若侵犯您的版权或隐私,请联系本站管理员删除。
4、文章链接:http://www.1haoku.cn/art_1239466.html
订阅