状态方程模型
来源:网络收集 点击: 时间:2025-11-08对状态方程模型进行介绍,来学习一下几个基础的状态方程模型。
最基础的状态方程是理想气体转台方程PV=nRT。理想气体定律假设分子没有大小并且没有分子间的相互作用 与活度系数方法中所用的 相对于纯组分特性而定义的理想状态相比 这称做绝对理想状态。
状态方程主要有两种工程类型:三次状态方程和维里方程。

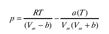
其中,a表征的是吸引力,是一个表征吸引力的系数。
自从这些状态方程发布以来 人们提出了许多改进和修改的建议 在ASPEN PLUS中精选了一些重要的改进状态方程 原始的Redlich-Kwong-Soave和 Peng-Robinson状态方程将被称做标准的三次状态方程 在ASPEN PLUS中三次状态方程是基于Redlich- Kwong-Soave和 Peng-Robinson状态方程的 ,其方程列表如图:

在一个标准的三次状态方程中 纯组分参数是由基于临界温度 临界压力 偏心因子的关联式计算 对于极性化合物或长链烃 这些关联式不是很精确的 引入一个较灵活的与温度相关的吸引力参数 alpha函数 将提高描述蒸汽压的准确度 在ASPEN PLUS中 最多有三个不同的alpha函数内置于下列三次状态方程模型 Redlich-Kwong-AspenSchwartzenruber-Renon Peng-Robinson-MHV2 Peng-Robinson-WS 预 测 性 RKS Redlich-Kwong-Soave-MHV2和Redlich-Kwong-Soave-WS
三次状态方程不能准确地描述液相摩尔体积 为了弥补该缺点 你可以采用体积转换它是与VLE计算无关的 Schwartzenruber-Renon状态方程中有体积转换
版权声明:
1、本文系转载,版权归原作者所有,旨在传递信息,不代表看本站的观点和立场。
2、本站仅提供信息发布平台,不承担相关法律责任。
3、若侵犯您的版权或隐私,请联系本站管理员删除。
4、文章链接:http://www.1haoku.cn/art_1280347.html
订阅