初中数学之认识分式怎么讲(试讲稿)?
来源:网络收集 点击: 时间:2024-02-24【导读】:
本节位于北师大版八年级下册第五章,是分式的开篇之作,为分式乘除打下了基础。 通过本节的学习认识了分式的概念,同时能通过代入法求得分式的值方法/步骤1/6分步阅读
2/6
3/6
4/6
5/6
6/6
注意事项
还是在实际的应用题里出现了分式:修建4800平方米的场地,每天多修建30m²,提前完成任务。求原计划和新计划各需要多少天完成

设出来原计划每天建造x平方米,则原来需要4800/x天,后来需要4800/(x+30)天

在給出另外一个参观故宫和国家图书馆借书的例子,列出俩式子。让同学们观察这几个式子有什么特征?

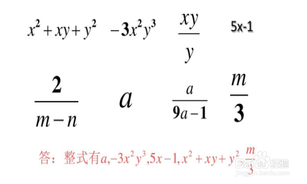
同学们都能发现,分母中含有字母(未知数),像这样的式子就叫做分式。 只有分子中含有字母的不叫分式

认识了分式以后,就是判断什么是分式,和求分式的值的问题。这是一种例题,见例1,给定x的值,求含有x的分式的值,把x代入即可。

还有一类题目就是分式0值和有意义问题,要想使分式的值为0,那么分子要为0,分母不能为0;要使分式无意义,分母要等于0,反之有意义。

本经验由百度签约作者 nice千年杀 原创发表于百度经验网站,任何其他网站未经允许私自转载将追究法律责任!
版权声明:
1、本文系转载,版权归原作者所有,旨在传递信息,不代表看本站的观点和立场。
2、本站仅提供信息发布平台,不承担相关法律责任。
3、若侵犯您的版权或隐私,请联系本站管理员删除。
4、文章链接:http://www.1haoku.cn/art_134021.html
上一篇:可颂的家常做法
下一篇:电信最快apn接入点设置