cosx/x的不定积分
来源:网络收集 点击: 时间:2024-02-28【导读】:
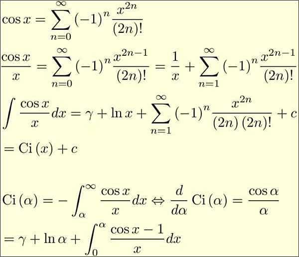
这个原函数不是初等的,所以高数程度不用知道算法,这个积分可用特殊函数余弦积分Ci(x)来表示,某些非初等函数的积分能用这样的特殊函数表示。
具体回答如图:

扩展资料:
设f(x)在区间上连续,则f(x)在上可积。设f(x)区间上有界,且只有有限个间断点,则f(x)在上可积。
求函数f(x)的不定积分,就是要求出f(x)的所有的原函数,由原函数的性质可知,只要求出函数f(x)的一个原函数,再加上任意的常数C就得到函数f(x)的不定积分。在一个区间上导数恒为零的函数必为常数,所以G(x)-F(x)=C’(C‘为某个常数)。
这表明G(x)与F(x)只差一个常数。因此,当C为任意常数时,表达式F(x)+C就可以表示f(x)的任意一个原函数。也就是说f(x)的全体原函数所组成的集合就是函数族{F(x)+C|-∞C+∞}。
参考资料来源:百度百科——不定积分
版权声明:
1、本文系转载,版权归原作者所有,旨在传递信息,不代表看本站的观点和立场。
2、本站仅提供信息发布平台,不承担相关法律责任。
3、若侵犯您的版权或隐私,请联系本站管理员删除。
4、文章链接:http://www.1haoku.cn/art_163037.html
上一篇:icloud照片恢复到手机
下一篇:怎样注销王牌联盟账号
订阅