无穷小量等价代换的公式是什么
来源:网络收集 点击: 时间:2024-02-12【导读】:
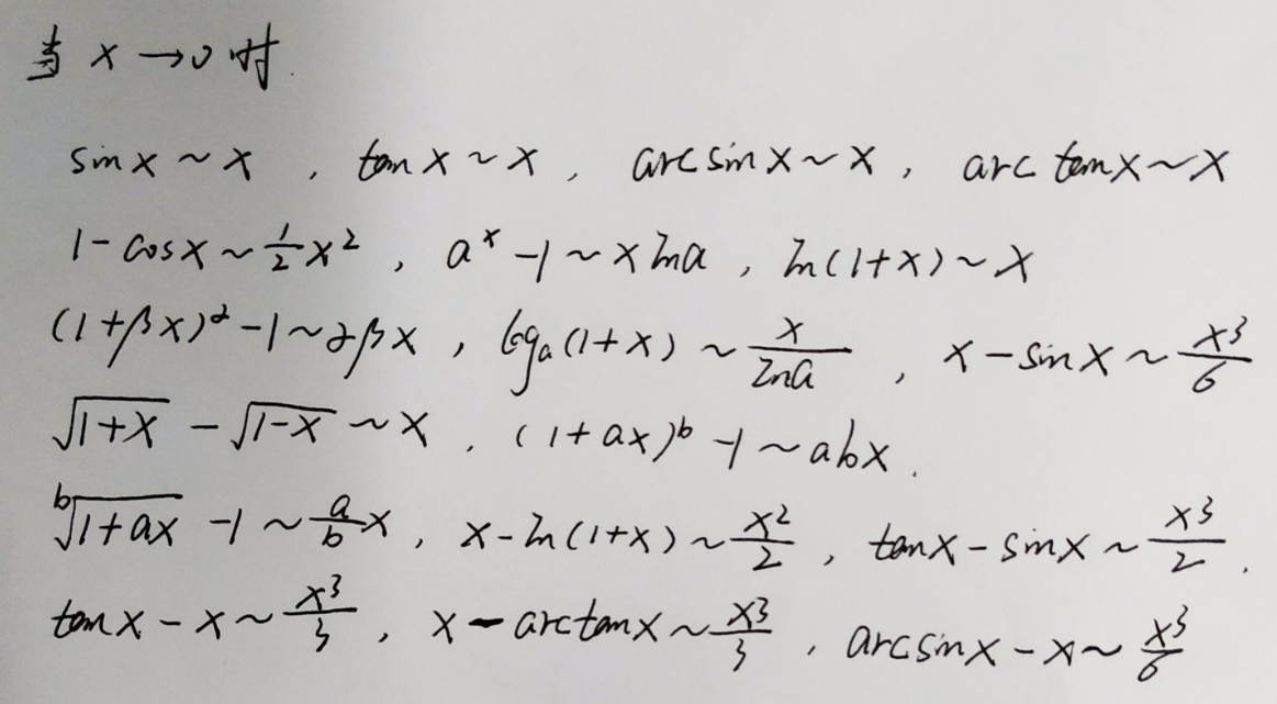
当x趋向于0时,有以下重要等价无穷小:
1.sinX~X。
2.tanX~X。
3.arcsinX~X。
4.ln(1+X)~X。
5.e^x-1~X。
6.a^x-1~Xlna(a>0,a≠1)。
7.1-cosX~1/2X^2。
8.(1+βx)^α-1~αβx。
9.(1+x)^a-1~ax。
10.log(1+x)~x/ln(a>0,a≠1)。

求极限时使用等价无穷小的条件:
1、被代换的量,在去极限的时候极限值为0。
2、被代换的量,作为被乘或者被除的元素时可以用等价无穷小代换,但是作为加减的元素时就不可以。
无穷小就是以数零为极限的变量。然而常量是变量的特殊一类,就像直线属于曲线的一种。确切地说,当自变量x无限接近某个值x0(x0可以是0、∞、或是别的什么数)时,函数值f(x)与零无限接近,即f(x)=0,则称f(x)为当x→x0时的无穷小量。
版权声明:
1、本文系转载,版权归原作者所有,旨在传递信息,不代表看本站的观点和立场。
2、本站仅提供信息发布平台,不承担相关法律责任。
3、若侵犯您的版权或隐私,请联系本站管理员删除。
4、文章链接:http://www.1haoku.cn/art_26362.html
上一篇:黎明觉醒cdk怎么兑换
下一篇:十年匆匆却也漫漫下一句
订阅