在Word中输入【加长等号】和【=上面输入条件】
来源:网络收集 点击: 时间:2024-04-04【导读】:
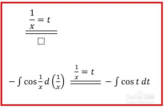
需求:等号上面能够输入条件,并且等号随输入条件的加长而变长。----------------------------------------------------------------------------------但是Word软件在公式编辑器中找不到等号上面能够输入条件的模板。解决上面需求,请看下面详细步骤。如果此经验真滴帮到您,请【点赞】+【投票】工具/原料moreWord2019成功图:1/1分步阅读
方法/步骤:1/5
2/5
3/5
4/5
5/5
注意事项
方法/步骤:1/5插入“新公式”,
2/5公式工具----矩阵----输入“两个竖框”;
3/5接着,选中第一个“方框”
公式工具----标注符号----第一次点击“底线”
两个方框的中间出现了一个横线,

4/5然后,再次选中“第一个方框”,
接着,公式工具----标注符号----第二次点击“底线”
中间出现了两个横线。
5/5上面的“方格”中输入条件。
下面没有条件的话,直接输入“空格”。
注意事项如果下面一个“方框”高度不够的话,再用“矩阵”添加方框,使得制作出的模板更加美观。
版权声明:
1、本文系转载,版权归原作者所有,旨在传递信息,不代表看本站的观点和立场。
2、本站仅提供信息发布平台,不承担相关法律责任。
3、若侵犯您的版权或隐私,请联系本站管理员删除。
4、文章链接:http://www.1haoku.cn/art_418222.html
上一篇:创造与魔法怎么制作茄汁鲅鱼
下一篇:【华为】云空间电脑端如何上传文件
订阅