已知直角三角形的两条直角边的长度,求另一条边的长度?怎么算
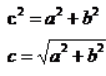
来源:网络收集 点击: 时间:2024-07-18假设直角三角形的直角边长分别为a、b,斜边为c,根据勾股定理,则

勾股定理是一个基本的几何定理,指直角三角形的两条直角边的平方和等于斜边的平方。中国古代称直角三角形为勾股形,并且直角边中较小者为勾,另一长直角边为股,斜边为弦,所以称这个定理为勾股定理,也有人称商高定理。
勾股定理现约有500种证明方法,是数学定理中证明方法最多的定理之一。勾股定理是人类早期发现并证明的重要数学定理之一,用代数思想解决几何问题的最重要的工具之一,也是数形结合的纽带之一。在中国,商朝时期的商高提出了“勾三股四玄五”的勾股定理的特例。
在西方,最早提出并证明此定理的为公元前6世纪古希腊的毕达哥拉斯学派,他用演绎法证明了直角三角形斜边平方等于两直角边平方之和。

一、定理用途
已知直角三角形两边求解第三边,或者已知三角形的三边长度,证明该三角形为直角三角形或用来证明该三角形内两边垂直。利用勾股定理求线段长度这是勾股定理的最基本运用。
二、意义
1、勾股定理的证明是论证几何的发端。
2、勾股定理是历史上第一个把数与形联系起来的定理,即它是第一个把几何与代数联系起来的定理。
3、勾股定理导致了无理数的发现,引起第一次数学危机,大大加深了人们对数的理解。
4、勾股定理是历史上第—个给出了完全解答的不定方程,它引出了费马大定理。
5、勾股定理是欧氏几何的基础定理,并有巨大的实用价值.这条定理不仅在几何学中是一颗光彩夺目的明珠,被誉为“几何学的基石”,而且在高等数学和其他科学领域也有着广泛的应用。
1971年5月15日,尼加拉瓜发行了一套题为“改变世界面貌的十个数学公式”邮票,这十个数学公式由著名数学家选出的,勾股定理是其中之首。
版权声明:
1、本文系转载,版权归原作者所有,旨在传递信息,不代表看本站的观点和立场。
2、本站仅提供信息发布平台,不承担相关法律责任。
3、若侵犯您的版权或隐私,请联系本站管理员删除。
4、文章链接:http://www.1haoku.cn/art_967692.html
订阅