lnx分之一的导数是什么
来源:网络收集 点击: 时间:2024-04-05【导读】:
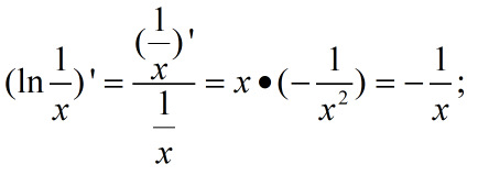
具体回答如图:

计算已知函数的导函数可以按照导数的定义运用变化比值的极限来计算。在实际计算中,大部分常见的解析函数都可以看作是一些简单的函数的和、差、积、商或相互复合的结果。
只要知道了这些简单函数的导函数,那么根据导数的求导法则,就可以推算出较为复杂的函数的导函数。
导数的单调性:
若导数大于零,则单调递增;若导数小于零,则单调递减;导数等于零为函数驻点,不一定为极值点。需代入驻点左右两边的数值求导数正负判断单调性。
若已知函数为递增函数,则导数大于等于零;若已知函数为递减函数,则导数小于等于零。
版权声明:
1、本文系转载,版权归原作者所有,旨在传递信息,不代表看本站的观点和立场。
2、本站仅提供信息发布平台,不承担相关法律责任。
3、若侵犯您的版权或隐私,请联系本站管理员删除。
4、文章链接:http://www.1haoku.cn/art_430743.html
上一篇:如何运用废纸来做成小盒子
下一篇:抖音怎么设置时间自动关闭?
订阅