定积分周期函数 例5这个题 我有几个不明白的地方 1、按照定积分的周期函数的平移性质
来源:网络收集 点击: 时间:2024-04-22【导读】:
因为F(X)是周期函数,所以加上周期,函数值不变,所以F(X+T)=F(x),根据上式变换又得到f(x+t)的一个具体表达式,然后让这个表达式和f(x)相等,然后计算出b。
按照定积分的周期函数的平移性质 确实应该先确定被积函数的周期,最主要用三角函数那个降幂扩角那个公式确定周期。积分限变换的时候,确实要考虑被积函数的正负 题中(1)(2)换积分限是因为它的周期而不是正负的问题,(2)第4个等号才是应为正负而去掉根号的。

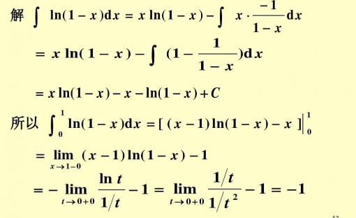
定积分
定积分的正式名称是黎曼积分。用黎曼自己的话来说,就是把直角坐标系上的函数的图象用平行于y轴的直线把其分割成无数个矩形,然后把某个区间[a,b]上的矩形累加起来,所得到的就是这个函数的图象在区间[a,b]的面积。实际上,定积分的上下限就是区间的两个端点a,b。
版权声明:
1、本文系转载,版权归原作者所有,旨在传递信息,不代表看本站的观点和立场。
2、本站仅提供信息发布平台,不承担相关法律责任。
3、若侵犯您的版权或隐私,请联系本站管理员删除。
4、文章链接:http://www.1haoku.cn/art_571761.html
上一篇:路由器中的战斗机,网件R7000夜鹰开箱介绍!
下一篇:租号玩怎么解除打字限制
订阅